반응형

건축공학에서 고층 건물 설계는 풍하중을 고려하는 것이 필수적입니다. **풍하중(Wind Load)**은 건물의 구조적 안전성뿐만 아니라 사용자의 쾌적성에도 영향을 미치기 때문입니다. 이번 글에서는 풍하중의 정의와 계산 방법, 풍하중 설계의 원칙, 그리고 고층 건물에서의 응용 사례를 전문적으로 다뤄보겠습니다.
풍하중이란?
풍하중은 바람이 구조물에 가하는 하중으로, 바람의 속도와 방향, 구조물의 형상, 높이에 따라 크게 달라집니다.
- 정압(Stagnation Pressure): 바람이 구조물에 정지하면서 발생하는 압력
- 측압(Shear Pressure): 바람이 구조물 표면을 따라 이동하며 발생하는 압력
풍하중은 구조물 설계에서 반드시 고려해야 하는 하중 중 하나로, 특히 고층 건물과 타워 구조물에서 중요합니다.
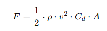
풍하중 계산 공식
풍하중은 아래와 같은 기본 공식을 통해 계산됩니다:

- F: 풍하중 (N)
- ρ\rho: 공기의 밀도 (kg/m³)
- vv: 바람의 속도 (m/s)
- CdC_d: 공기저항 계수 (Drag Coefficient)
- AA: 구조물의 단면적 (m²)
풍하중의 주요 변수
- 바람의 속도(Velocity): 풍속은 구조물이 위치한 지역의 기후 조건에 따라 달라지며, 높이에 따라 증가합니다.
- 형상 계수(Shape Coefficient): 건물의 형상에 따라 바람 저항 정도가 달라집니다. 예를 들어, 둥근 구조물은 저항이 낮고, 각진 구조물은 저항이 높습니다.
- 건물의 높이(Height): 높이가 클수록 풍하중이 증가합니다.
풍하중 설계의 주요 원칙
- 동적 해석(Dynamic Analysis)
- 고층 건물은 바람에 의해 진동이 발생할 수 있으므로, **자연 진동수(Natural Frequency)**와 **바람 진동수(Wind Frequency)**의 공진을 방지해야 합니다.
- 풍압 분산 설계
- 풍하중을 구조물 전체에 고르게 분산하여 특정 지점에 하중이 집중되지 않도록 설계합니다.
- 댐퍼 시스템(Tuned Mass Damper, TMD)
- 고층 건물 상부에 댐퍼를 설치해 바람에 의한 진동을 효과적으로 감소시킵니다.
- 재료 선택
- 풍하중에 견딜 수 있는 고강도 강재와 철근 콘크리트를 사용합니다.
풍하중에 의한 설계 사례
- 고층 건물 설계
- 초고층 건물(예: 롯데월드타워)은 풍하중을 최소화하기 위해 유선형 디자인을 채택하고, TMD를 설치합니다.
- 교량 설계
- 긴 경간의 교량은 바람에 의해 흔들릴 수 있으므로, 공기역학적 설계와 보강재를 사용해 안정성을 확보합니다.
- 타워 및 마스트
- 방송 타워나 풍력 터빈은 바람에 직접 노출되므로, 내풍 설계를 통해 안정성을 확보합니다.
- 스포츠 경기장
- 개방형 경기장은 바람의 흐름을 고려한 설계로 풍압을 분산시켜야 합니다.
풍하중 설계를 위한 소프트웨어 활용
- CFD 시뮬레이션(Computational Fluid Dynamics)
- 건물 주변의 공기 흐름을 시뮬레이션하여 풍압 분포를 분석합니다.
- 구조 해석 도구
- SAP2000, ETABS 등으로 풍하중에 대한 구조 해석을 진행하여 설계에 반영합니다.
- 풍동 실험(Wind Tunnel Test)
- 실제 건물 모형을 사용하여 풍압과 바람에 의한 진동을 실험적으로 분석합니다.
풍하중 설계의 실제적 중요성
- 안전성 확보
- 풍하중을 정확히 설계하지 않으면 구조물 붕괴 위험이 있습니다.
- 사용자 쾌적성
- 고층 건물에서 바람에 의한 흔들림을 최소화해 거주자와 사용자의 불안을 줄입니다.
- 경제적 효율성
- 효율적인 풍하중 설계를 통해 건설 비용을 줄이면서 안정성을 확보합니다.
- 환경 친화적 설계
- 바람의 흐름을 활용한 에너지 절약 및 자연 환기 설계가 가능해집니다.
풍하중 설계는 고층 건물과 대규모 구조물의 안전성과 효율성을 보장하는 핵심 과정입니다. 이번 글에서 소개한 풍하중 계산과 설계 원칙을 바탕으로 건축 공학적 이해를 높이고, 실무에서 활용 가능한 지식을 쌓으시길 바랍니다.
반응형
'교육' 카테고리의 다른 글
| 기초 설계와 지반 압력의 이해 (0) | 2024.12.27 |
|---|---|
| 구조물의 내진 설계와 지진 하중의 이해 (1) | 2024.12.27 |
| 기계공학과 필수 개념 - 열역학 제1법칙 완벽 정리 (1) | 2024.12.23 |
| 서울 마포구 아현동 학군지: 서부권 교육의 숨은 진주 (3) | 2024.12.10 |
| 경기도 성남 분당구 정자동 학군지: 경기 남부의 교육 중심지 (3) | 2024.12.09 |