반응형

건축공학에서 슬래브는 구조물의 주요 수평 부재로, 휨 모멘트와 전단력에 대한 설계가 필수적입니다.
특히 슬래브 설계는 안전한 구조물을 위한 핵심 과정으로, 휨 모멘트를 이해하는 것이 가장 중요합니다.
이번 글에서는 슬래브 설계와 관련된 휨 모멘트의 정의, 설계 원리, 그리고 실무 활용 사례를 중심으로 정리하겠습니다.
슬래브란 무엇인가?
슬래브(Slab)는 건축 구조물에서 하중을 지지하고 분산하는 평판 형태의 부재입니다.
- 슬래브는 주로 철근콘크리트(Reinforced Concrete, RC)로 제작되며, 구조물의 바닥이나 천장에 사용됩니다.
- 주요 하중으로는 **직접 하중(Dead Load)**과 **활하중(Live Load)**이 포함됩니다.
휨 모멘트란?
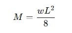
휨 모멘트(Bending Moment)는 슬래브와 같은 구조 부재에 하중이 작용할 때 발생하는 내력의 한 형태입니다. 이를 수식으로 표현하면 다음과 같습니다.

- M: 휨 모멘트 (kN·m)
- w: 슬래브에 작용하는 균등 하중 (kN/m²)
- L: 슬래브의 경간 길이(Span Length, m)
슬래브 설계에서는 최대 휨 모멘트를 고려하여 철근을 배치하고, 휨에 대한 저항력을 확보해야 합니다.
슬래브 설계의 주요 과정
- 하중 계산
슬래브에 작용하는 자중(Self-weight), 활하중(Live Load), **환경 하중(Environmental Load)**을 고려합니다. - 휨 모멘트 계산
설계 기준에 따라 슬래브의 경간과 하중 조건을 바탕으로 휨 모멘트를 계산합니다. - 철근 설계
휨 모멘트를 견딜 수 있도록 철근의 직경, 간격, 배치를 설계합니다.- 주철근(Main Reinforcement): 휨 모멘트에 저항
- 분포철근(Distribution Reinforcement): 균열 방지
- 전단 설계
슬래브의 전단력을 분석하여 철근 또는 전단 보강재를 추가합니다. - 슬래브 두께 결정
최소 슬래브 두께는 하중 조건과 스팬 길이에 따라 결정되며, 처짐 방지를 위해 충분한 두께를 확보해야 합니다.
휨 모멘트와 관련된 슬래브의 유형
- 단순지지 슬래브(Simply Supported Slab)
- 양 끝단이 단순히 지지된 구조
- 최대 휨 모멘트가 슬래브 중앙에서 발생
- 연속 슬래브(Continuous Slab)
- 여러 지점에서 연속적으로 지지되는 슬래브
- 최대 휨 모멘트가 중간 스팬에서 감소하고, 지지점에서 음의 모멘트 발생
- 캔틸레버 슬래브(Cantilever Slab)
- 한쪽 끝만 고정된 슬래브로, 외부로 돌출된 발코니 설계에 주로 사용
실생활에서 슬래브 설계의 중요성
- 건물 안정성 확보
슬래브는 건물 전체 하중을 기둥이나 벽체로 전달하므로, 설계 오류가 발생하면 구조물의 안전에 심각한 영향을 미칩니다. - 경제성 고려
철근과 콘크리트의 최적 배합을 통해 슬래브의 경제성을 극대화할 수 있습니다. - 변형 및 균열 방지
적절한 설계를 통해 처짐(Deflection)과 균열(Cracking)을 방지하여 건물의 내구성을 향상시킵니다.
슬래브 설계를 위한 유용한 팁
- 한국건축구조기준(KBC) 활용
- KBC에서 제공하는 설계 기준을 참고하여 하중 조건과 허용 범위를 정확히 계산하세요.
- 구조 해석 소프트웨어 사용
- ETABS, SAP2000, Tekla Structures 등을 사용하면 슬래브 설계를 시뮬레이션하고 정확한 해석 결과를 얻을 수 있습니다.
- 현장 조건 반영
- 현장에서 발생할 수 있는 하중 변화나 시공 오차를 고려한 설계를 진행하세요.
결론
슬래브 설계는 건축공학에서 필수적인 과정으로, 휨 모멘트를 정확히 이해하고 이를 설계에 반영하는 것이 매우 중요합니다. 이번 글에서 소개한 내용을 바탕으로 슬래브 설계와 휨 모멘트에 대한 이해를 높이고, 실무에서 활용할 수 있는 기초를 다지길 바랍니다.
반응형
'교육' 카테고리의 다른 글
| 옥상 녹화 설계와 도시 환경 개선 효과 (0) | 2025.01.11 |
|---|---|
| 재료의 비틀림과 전단 응력 완벽 정리 (1) | 2024.12.27 |
| 기초 설계와 지반 압력의 이해 (0) | 2024.12.27 |
| 구조물의 내진 설계와 지진 하중의 이해 (1) | 2024.12.27 |
| 풍하중 설계와 고층 건물 안정성 확보하기 (1) | 2024.12.24 |